Електрична отпорност проводника. Омов закон за део струјног кола
Лекција
Лекција
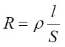
Дакле, експериментално смо установили да је електрична отпорност проводника директно сразмерна специфичној отпорности и дужини проводника, а обрнуто је сразмерна површини попречног пресека проводника:

R – електрична отпорност проводника
ρ – специфична отпорност материјала
l – дужина проводника
S – површина попречног пресека проводника
Искористи PhETсимулацију испод и провери важење ове формуле.
Померај клизаче на симулацији и мењај специфичну отпорност материјала, дужину проводника и површину попречног пресека проводника и установи шта се дешава са електричном отпорношћу проводника.