Лекција 1: Сила као узрок промене брзине кретања тела. Појам убрзања.

,

Задатак 3

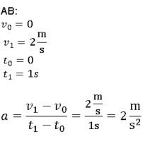
Задатак 3: Израчунати  убрзање бицикла са дечаком на основу података датих на слици  на деловима пута АB BC CD и AD.


Решење:  


2 зад 31

Запазимо да је убрзање исто на свим деловима пута. Код кретања описаног на слици  брзина расте, али убрзање се не мења.

 

Пажња:  треба разликовати брзине дате у тренуцима времена у овом задатку  од средњих брзина које смо рачунали у претходном задатку!

 

Вектор убрзања је у смеру кретања уколико брзина кретања тела расте.

Завршили сте 100% лекције
100%